La Customer Lifetime Value (ou CLTV) est un des meilleurs indicateurs pour déterminer la valeur d’un client. Il est très intéressant pour dénicher les éléments les plus rentables de sa clientèle. Néanmoins, les définitions du concept divergent selon les sources. En revanche, notre définition comprend des sources scientifiques des plus pertinentes sur le sujet. Dans cet article, nous détaillerons aussi le calcul de la CLTV (cliquez ici pour le découvrir). Enfin, un exemple numérique complètera notre analyse de ce concept très utile au marketing automation.
Contactez-nous pour repérer les tendances émergentes de votre secteur
Sommaire
Qu’est-ce que la CLTV (Customer Lifetime Value) ?
La CLTV détermine le montant des bénéfices futurs provenant d’un client. Ainsi, elle se limite à la durée de la relation client, soit la période séparant le premier du dernier achat prévu (Tukel & Dixit, 2013 ; Gupta et al, 2006). Elle apporte énormément aux entreprises dans l’allocation des ressources à leurs clients.
En effet, une CLTV propre à chaque consommateur détermine quels sont les meilleurs membres de votre clientèle. C’est pourquoi nous recommandons de procéder à son calcul avant toute campagne d’account-based marketing. Pour rappel, cette dernière pousse les marques à considérer chaque client clé comme un segment de marché à part entière. Vos stratégies marketing deviennent alors plus impactantes et judicieuses (Hiziroglu & Sengul, 2012 ; Safari et al, 2016). Néanmoins, il est tout à fait possible de calculer la Customer Lifetime Value pour un ensemble homogène de clients. A chaque structure, sa manière optimale de déterminer la CLTV. (Haenlein et al, 2007)
Par conséquent, la méthode de la CLTV se rapproche de l’approche financière de l’actualisation des flux de trésorerie. Mais Sunil Gupta apporte 2 nuances fondamentales. Tout d’abord, la Customer Lifetime Value n’évalue la valeur que d’un seul client ou segment de marché. Ce procédé s’appuie donc sur les différences de rentabilité d’un client à l’autre, au lieu de déterminer une rentabilité moyenne. Ensuite, la CLTV a pour particularité d’anticiper les défections des clients au profit de la concurrence. En somme, nous avons affaire à un indicateur plus pertinent dans la mesure des efforts marketing.
La place de la CLTV dans la valeur client
Vous l’aurez compris, la Customer Lifetime Value détermine la valeur d’un client à un instant donné. Cependant, Payne & Holt, 2001 précise qu’il existe d’autres domaines exerçant une influence sur la valeur client. Mises bout à bout, toutes ces disciplines permettent de mieux comprendre les motivations du consommateur. En quelque sorte, cet ensemble constitue une compilation de lignes directrices pour mieux satisfaire et fidéliser sa clientèle :
- L’ensemble des valeurs fondamentales du consommateur : les entreprises doivent les identifier pour mieux toucher leur cible marketing
- La qualité du service client : c’est d’ailleurs un soutien de taille pour augmenter sa Customer Lifetime Value
- Le processus de création de valeur : à ce niveau, n’hésitez pas à redoubler d’efforts pour améliorer la valeur perçue de votre offre
- La valeur du client aux yeux de l’entreprise : la CLTV en est d’ailleurs l’indicateur principal
- La valeur relationnelle : ne vous trompez pas, le marketing relationnel est une valeur ajoutée non négligeable pour la fidélisation client. Nespresso l’a bien compris.
Prévoir la valeur client grâce à la dynamique des segments de clientèle
Les recherches les plus récentes en matière de CLTV se penchent sur la prédiction des fluctuations de la valeur client. Par ailleurs, Mosaddegh et al, 2021 se base sur la séparation des consommateurs en 2 publics distincts : les initiateurs et les suiveurs. Ce faisant, l’étude modélise l’évolution du comportement des consommateurs. Ainsi, ses auteurs affirment que les marques ayant recours à cette méthodologie pourraient bien déceler les tendances de marché. Cette conclusion récente s’applique donc également aux marchés dynamiques que nous connaissons aujourd’hui.
Notre cabinet d’étude de marché analyse en profondeur le comportement du consommateur
De plus, le Dr. Mosaddegh indique que la valeur client ne peut pas se calculer sans les associations inter-clients. Autrement dit, impossible de ne pas prendre en compte l’influence des initiateurs sur les suiveurs. Ainsi, les segments de clientèle sont dynamiques : ils devraient être un nouvel indicateur de CLTV. Toujours selon les résultats de cette étude, il s’agirait d’une manière idéale de s’adapter aux variations du marché des consommateurs.
Il faut étudier les nouveaux développements du marché pour comprendre réellement la valeur client.
Calcul de la CLTV
Désormais, nous connaissons tous les enjeux de la Customer Lifetime Value. L’heure est donc venue de s’intéresser à sa méthode et à son calcul détaillé. Elle se base sur trois variables clés :
- le panier moyen par client
- la durée de vie du client
- et sa fréquence de consommation
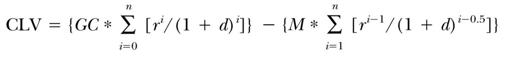
Sans plus tarder, voici la formule de la valeur vie client pour chacun de vos clients/segments de marché. Il existe plusieurs façons de calculer cette valeur. Néanmoins, nous vous proposons d’étudier l’équation de Berger & Nasr, 1998. En termes littéraires, la CLTV correspond à l’évolution temporelle de la valeur du client, en considérant :
- la rétention client
- l’actualisation
- et les coûts opérationnels occasionnés par l’acquisition client (publicité, prospection, inbound marketing, etc.)
Voici un aperçu de la formule de Paul Berger et Nada Nasr, pensionnaires de l’Université de Boston :
Retrouvez ci-dessous les significations des lettres et symboles précédemment évoqués :
- GC : bénéfice brut annuel par client, c’est-à-dire les recettes des ventes moins leur coût
- i : instant (i=0 étant l’exercice n, i=1 l’exercice n+1, etc.)
- Σ : somme des apports positifs ou négatifs apportés par un client sur 1 an. Nous débutons à la période i=0, « n » désignant quant à lui le nombre d’années que l’on souhaite étudier
- r : taux de rétention d’une année sur l’autre, par exemple 50% si l’on passe de 40 à 20 clients entre i=0 et i=1
- d : taux d’actualisation, une sorte de taux de change prenant en compte les évolutions en termes de pricing, par exemple
- M : coûts annuels liés au marketing pour un client donné
Exemple d’application de la CLTV
Enfin, pour faciliter la compréhension de l’équation précédente, nous vous proposons un exemple pratique de calcul de la CLTV.
Nous souhaitons mesurer la Customer Lifetime Value d’une entreprise B2C soumise à une forte concurrence. Ainsi, sur 2 ans (n=2), son taux de rétention ne dépasse pas les 50% d’une année sur l’autre (r=0,5). Nous supposons que le taux d’actualisation s’élève à 10% (d=0,1) et qu’un client rapporte 100€ par an à l’entreprise (GC=100). Quant aux coûts marketing par client, ils s’élèvent à 20€ par tête (M=20).
Nous obtenons alors :
CLTV = [100 * (1 + (0,5 / 1,1) + (0,25 / 1,21)) – 20 * ((1 / √1,1) + (0,5 / (1,1)^(3/2)))]
CLTV ≈ 138,38 €, arrondi à 10^-2 près
Comment interpréter ce résultat ? En termes concrets, la valeur vie de ce client rapportant 100 euros, pour 20 euros de dépenses marketing, est de 138,38 €. Il ne reste plus qu’à répéter l’expérience pour déterminer quels sont vos meilleurs clients et segments de marché !
Sources
- Berger, P. D., & Nasr, N. I. (1998). Customer lifetime value: Marketing models and applications. Journal of Interactive Marketing, 12(1), 17–30.
- Gupta, S., & Lehmann, D. R. (2003). Customers as assets. Journal of Interactive Marketing, 17(1), 9–24.
- Gupta, S., Hanssens, D., Hardie, B., Kahn, W., Kumar, V., Lin, N., Ravishanker, N., & Sriram, S. (2006). Modeling Customer Lifetime Value. Journal of Service Research, 9(2), 139–155.
- Haenlein, M., Kaplan, A.M. & Beeser, A.J. (2007). A Model to Determine Customer Lifetime Value in a Retail Banking Context. European Management Journal, 25(3), 221-234.
- Hiziroglu, A. & Sengul, S. (2012). Investigating two customer lifetime value models from
segmentation perspective. Social and Behavioral Sciences, 62, 766-774. - Mosaddegh, A., Albadvi, A., Mehdi, M. & Babak Teimourpour, S. (2021). Dynamics of customer segments: A predictor of customer lifetime value. Expert Systems with Applications, 172.
- Payne, A., & Holt, S. (2001). Diagnosing Customer Value: Integrating the Value Process and Relationship Marketing. British Journal of Management, 12(2), 159-182
- Safari, F., Safari, N. & Montazer, G.A. (2016). Customer lifetime value determination based on RFM model ». Marketing Intelligence & Planning, 34(4), 446-461.
- Tukel, O.I. & Dixit, A. (2013). Application of customer lifetime value model in make-to-order manufacturing”. Journal of Business & Industrial Marketing, 28, 468-474.












